Алексей Веселовский
Старинные русские ярмарки
(XVI и XVII в.в.).
К истории русских ярмарок на Севере.
(Краткая историко-экономическая заметка) //
Кооперация Севера. – 1923. -
№ 4. – С. 89-90.
Слово
ярмарка иностранного происхождения (от немецкого - Jahrmarkt, букв, в
переводе - годовой торг), и в исконном русском языке ему соответствуют
слова: торг, торжок, торжище [1)] [До сих пор ряд русских городов и
местечек носят характерные названия: Торжок, Новый Торг, Торговище и
др.]. Под этим словом понимается место периодических съездов торговцев
и привоза товаров, главным образом сырья, для товарообмена
преимущественно в оптовом размере.
Когда
какая-нибудь страна, переходящая постепенно из первобытной поры
господства натурального хозяйства [2)] [При натуральном хозяйстве
каждое хозяйство является само для себя экономически и производителем и
потребителем. Эта форма хозяйства в России до последней войны
сохранилась до известной степени в некоторых захолустьях, а также в
Сибири], желает упорядочить начинающуюся внутреннюю и внешнюю, вначале
исключительно меновую, торговлю, ей приходится, прежде всего, иметь
дело с улучшением путей сообщения, тесно связанным с экономическим
развитием страны.
Местоположение
ярмарок, при наличии плохих и крайне неудобных путей сообщения на Руси
в то время, зависело от ряда местных условий и обстоятельств. При
небезопасности самого передвижения, торговые люди естественно старались
перевозить свои товары в места, наиболее охранявшиеся и наименее
обремененные торговыми налогами и пошлинами. Такими местами были в то
время монастыри, городские посады и большие села. Часто ярмарки
находились между собой в последовательной связи по времени и по
географическому местоположению, так что торговец мог, последовательно
переезжая из одного торга в ближайший следующий, совершить ряд торговых
сделок, снабдить население целого ряда районов и, пользуясь колебанием
и разницею цен на товары в различных местностях, при наличии известной
торговой сметливости, производить чрезвычайно выгодные обороты [3)]
[Русские торговцы того времени поражали иностранных купцов своим
умением совершать очень выгодные торговые обороты, несмотря на тяжелые
условия тогдашней торговли]. Таким образом, самые торги стали не только
местами для оптовой торговли, но как бы сделались своего рода путями
для перемещения и распределения массы товаров. Одним словом,
«необходимость скоплять товар в известное время года в известном месте
создала периодические съезды купцов и покупателей, и это придало
торговле ярмарочный характер» [4)] [Милюков. Очерки по истории русской
культуры, ч. I, стр. 94].
Торги
бывали каждогодные, каждонедельные и ежедневные. В г. Вологде в
XVI-XVII в.в. государственной ярмарки не было, но ежедневно (за
исключением воскресенья и некоторых праздников) происходил торг, и в
особенности оживленно по понедельникам, средам и пятницам, когда в
город приезжали из уездов крестьяне со своими товарами. Наиболее
интенсивной торговля в Вологде была в середине зимы, так как к этому
времени сюда прибывали и скоплялись товары с осенней Архангельской
ярмарки, а с юга со всей России прибывали и зимовали до весны товары,
предназначавшиеся для вывоза за границу через Архангельск. В селе
Грязлевицах (ныне г. Грязовец), принадлежавшем Корнилиеву монастырю,
торг бывал по понедельникам и в некоторые праздники. Вообще сельские и
городские торги бывали по определенным недельным дням, кроме
воскресенья.
Наиболее
оживленными торги бывали зимою, когда устанавливался санный путь. Летом
сухопутные дороги были прямо непроходимы, на это часто жаловались
иностранные купцы, и «провезти товар по летней дороге стоило, по
крайней мере, вчетверо дороже зимнего провоза».
При
монастырях, в руках которых в то время сосредоточивалась значительная
часть внутренней торговли России (главным образом в XVI в.), в
монастырских селах и имениях, главные ярмарки приурочивались ко дню
местного или двунадесятого праздника.
Доход
со своей ярмарки монастыри обыкновенно испрашивали у правительства в
свою пользу, «на церковное строение, ладон и свечи», и в их прямых
интересах было привлекать на свою ярмарку возможно больше торговцев.
Правительство многим монастырям давало разные торговые льготы и
привилегии, так что некоторые из них [5)] [Напр. Спасо-Прилуцкий,
Спасо-Каменный на Кубинском озере, Кирилло-Белозерский и др.]
пользовались правом вести беспошлинную оптовую торговлю хлебом, скотом,
маслом, рыбой, солью, но лишь в известной степени. Так, Соловецкий
монастырь имел право беспошлинной продажи соли в количестве до 130.000
пудов в год; проданное свыше этого подлежало уже пошлине. Благодаря
этому в общем монастыри продавали свои товары несколько дешевле против
купцов-мирян, а будучи вообще богатыми, они играли роль своего рода
кредитных банков: свободно ссужали торговцев нужною суммой и при этом
брали меньше процентов, чем купцы и казна. Все это привлекало в большом
количестве на монастырскую ярмарку и купцов и покупателей. Монастырской
торговлей заведывали доверенные старцы из среды монахов, и под их
присмотром вели торговлю монастырские слуги и купчины (комиссионеры).
Иногда монастырь отдавал ярмарку на откуп своим крестьянам.
К
назначенному дню съезжались на ярмарку, если она пользовалась
известностью, как напр. Кирилловская или Макарьевская [6)] [ Другие
большие северные ярмарки, как то Архангельская и Холмогорская, имели
значение главным образом для внешней торговли и носили другой характер,
так что о них здесь можно и не говорить], множество крестьян из
соседних уездов и губерний (областей), приезжали купцы - торговые гости
и мелкие торговцы; между ними встречались агенты - т. наз. скупщики
иностранных «гостей».
Сельские
торжища устраивались и открывались, если о том просили в челобитной
жители, с разрешения правительства и происходили под надзором
правительственных чиновников и целовальников, имевших уставную грамоту,
которая определяла порядок торг и сбор пошлин, взимавшихся с товаров в
пользу казны. Часто казенные доходы с торгов отдавались на откуп
частным лицам. Между сельскими и городскими торгами в то время не было
почти никакой разницы.
Характер
ярмарочной торговли был преимущественно меновой и оптовый, так как
продукты в общем были дешевы [7)] [Вернее, тогда было мало денег,
вследствие чего они высоко ценились], и даже частные люди приобретали
съестные припасы и прочее для своего хозяйства в оптовом размере и
редко по мелочам.
Главными
предметами ярмарочной торговли на Севере со стороны крестьян были кожи
(как сырые, так и дубленые), лен (его было очень много в Вологодском
крае), льняное семя и масло, домотканый холст, грубые сукна, соль,
рыба, дичь, скот (скотоводство в нашем краю и тогда было широко
развито), сало говяжье, молочные продукты, меха (преимущественно лисьи
и беличьи) [8)] [Главными центрами на Севере по торговле мехами были в
то время Холмогоры и Великий Устюг], сено, посуда глиняная и деревянная
и прочие кустарные изделия из дерева и металла. Но главным предметом
был зерновой хлеб: рожь, овес и пшеница, которым, впрочем, в то время
была бедна болотистая и лесистая Вологодская область. Торговые люди
привозили на ярмарку разные ткани, в том числе и иностранные,
галантерею, разные продукты, привозившиеся в Россию из-за границы, как
напр. сахар, пряности и лакомства; всякого рода изделия и предметы
деревянные и металлические, нужные для крестьянского обихода. Кабацкие
целовальники являлись с запасом «зелена вина» (продажа которого
составляла монополию казны и давала ей большие доходы) и разных
иностранных вин [9)] [Винные погреба были частные и казенные; первые
платили в кассу порядочный оброк], и устраивали нечто вроде временного
шинка, где ярмарочные продавцы и покупатели одинаково топили свои
торговые удачи и неудачи в «мирском веселии». Ярмарка начиналась
вовсю...
«Русские
от больших до малых чрезвычайно любили торговлю», говорит один
иноземный купец [10)] [Кильбургер. Краткое известие о русской торговле
за 1673 г. СПБ. 1820, стр. 11]. Мелкий торговец находился всегда в
руках у более крупного и по его милости жил безбедно или разорялся.
Интересна тогдашняя торговля и ее приемы с точки зрения нравственности.
В том отношении русские торговцы стояли очень низко. Обман,
надувательство и подделка были тогда в общем ходу, по свидетельству
иноземных путешественников, и были даже некоторым образом узаконены.
Только было нужно, чтобы дело сделалось ловко, незаметно и «благовидно»
[11)] [Явное воровство считалось бесчестием и строго каралось]. В
большом ходу было заламывать за товары цены раз в десять больше
настоящей и затем торговаться с покупателем до седьмого поту к
обоюдному удовольствию. Намеренный обвес в торговле не допускался, по
пословице: «В цене купец волен, а в весе не волен». Облапошит один
купец другого, сдерет с него втридорога, подсунет ему скверный товар, и
в конце-концов он прав. В основе тогдашней торговли лежал следующий
принцип, выраженный в старинной поговорке: «на то и щука в море, чтобы
карась не дремал». Ловкий плут даже делался популярным и вызывал общую
симпатию и уважение, смешанное со страхом. Обманутого не жалели, а
презирали, говоря: «сам, дурак, виноват, зачем того первый не
облапошил», и в этом роде. Причиною этого печального явления нужно
считать, во 1-х, общий низкий уровень умственного развития, хотя в
торговых делах русский человек проявлял большую сметку и находчивость,
был «крепок задним умом»; во 2-х, разорительную и тягостную систему
тогдашних податей и налогов, убивавшую мелкую торговлю, когда нужно
было вывертываться, как хочешь; и, наконец, в 3-х, боязнь быть самому
обманутым и стремление предупредить обманом обман. Стоит принять во
внимание следующие обстоятельства, сильно затруднявшие торговлю:
отсутствие до половины XVII в. однообразных мер веса и объема, обилие
фальшивых серебряных денег и вообще постоянное колебание денежного
курса, полный произвол властей, которым всем приходилось, кроме
податей, давать еще взятки; чтобы не грабили и не придирались, а,
главное, конкуренция с ловкими, богатыми иностранными купцами, сильно
вредившими тогдашнему русскому торговцу, особенно крупному.
Остается
сказать еще несколько слов о некоторых тогдашних мерах, деньгах и
ценах. В берковце было десять пудов или 400 гривен (фунтов). В фунте
было 48 золотников, в золотнике - 5 почек, а в почке – 4 пирога. Пуды и
гривенки делились на четверти (чети) или же трети. Пол-пол-пол трети
гривенки, или 1/24 гривенки. Сыпучие тела измерялись бочками; в бочке
было 4 четверти или 8 осьмин или 32 четверика. Вычитая дроби, иной раз
говорили: четверик без пол-пол-трети четверика. Были также местные
меры, довольно неопределенные: на Севере сыпучие тела меряли пузами,
зобнями, коробьями, рогозинами, решетами и пр. [12)] [В некоторых
захолустьях Вологодского края сохранились в памяти у жителей и даже до
последнего времени иногда употреблялись некоторые старинные меры.
Интересно было бы узнать их названия и величину]. Мерами протяжения
были, напр., аршин, заключавший 4 пяди; 3 локтя составляли 2 аршина (30
вершков). Жидкости измерялись бочками, ведрами, ковшами, кружками и пр.
Стоимость денег была следующая: 1 новгородский рубль и новгородская
деньга равнялись 2 московским; 1 московский рубль = 2 полтинам = 10
гривнам = 200 деньгам. Алтын стоил 6 денег (3 коп.). Были и медные
монеты неопределенной стоимости, называвшиеся пулами, но в XVII веке
вышли из употребления [13)] [Костомаров. Очерк торговли Московского
государства, гл. V].
Привожу
еще несколько образчиков цен на продукты. Тотемская соль на месте
приблизительно стоила 70 коп. за берковец. Точную стоимость хлеба за
весь период указать трудно, потому что цены на хлеб, находясь в
зависимости от урожая, представляют в то время сильные колебания. Одно
время в XVI в. в Вологде четверть ржи стоила 14 денег. На заводах 1000
кирпичей стоила 2 рубля, а известь в Москве стоила 4-6 алтын за бочку
[14)] [В старину вологжане занимались кирпичным промыслом и делали
известь]. Аршин домотканого холста ценился по 1 алтыну и дешевле. В XVI
в. дубленая яловичная кожа в Вологде стоила 20 алтын, пара кожаных
рукавиц - 4 алтына, а высокие сапоги (простые) - 8 алтын.
Сало
в Архангельске в XVII в. стоило 2 рубля за пуд, а цена на рыбу, будучи
вообще очень дешева, все время сильно колебалась [15)] [1 рубль XVII
в., по приблизительному подсчету, равен 15 серебр. довоенных рублей или
4.650 рублей дензнаков 1923 г.]. В качестве общего вывода,
характеризующего состояние русской торговли того времени, можно
сказать, что изолированность местных рынков, караванный характер
перевозки товаров, и ярмарочный характер их продажи и покупки -
таковы... типические черты старинной внутренней торговли России. – «Все
эти черты свидетельствуют о слабости обмена и незначительности оборотов
внутренней торговли» [16)] [Милюков. Очерки по истории русской
культуры, ч. 1, стр. 95].
Дiэсъ
Дань старине
//
Вологодский справочный
листок. – 1914. - № 655. - С. 3.
Это было давно.
Лет, вероятно, сто тому назад.
Когда не было железнодорожных катастроф, потому что не было железных
дорог и когда единственным способом сообщения Вологды с остальной
Россией были почтовые тракты.
В начале января по почтовой дороге,
соединяющей Вологду с Москвой, тянулись гужом нагруженные всяческим
товаром подводы.
Тянулись медленно, не торопясь, из Москвы, Ярославля и других городов.
Это ехали на вологодскую ярмарку ярмарочные гости.
В свою очередь, по другим дорогам, с
севера двигались к Вологде, как бы им навстречу, другие подводы.
Это ехали на годичный торг покупатели.
Первые ехали продавать, вторые покупать
и, кстати, повеселиться.
Ярмарка была большим, огромной важности
событием в жизни не только Вологды, но и всей губернии и даже всего
северного края.
Все
жители захолустных уголков губернии имели возможность побывать в
губернском городе, ибо чаще делать прогулки во многие сотни верст было
не под силу, в особенности для жителей местностей, не находящихся
вблизи рек Вологды, Сухоны, и других.
Приезжали
покупатели купцы, чтобы запастись товаром на целый год и удивлять потом
своих сограждан и односельчан «свежими» и «модными» продуктами.
А своим родным накупить «ярмарочных гостинцев».
Веселился мир крещеный.
Вместе с купцами, наезжали в Вологду и
увеселители.
Строились досчатые балаганы, смешил публику знаменитый российский
«петрушка».
Весело жила тогда Вологда.
В
то время не было других развлечений, не было театров и концертов и
балаган с петрушкой был единственным представителем искусств в Вологде.
Объедались
тогда вологжане заморскими лакомствами, теми самыми, которые потом
превратились в рахат-лукум, халву и истинно-русскими, вроде пышек, пили
сбитень и, одним словом, пользовались случаем не упустить насладиться
всеми благами ярмарочной жизни.
Ведь случай то был редкостный.
Один раз в год.
Но вот проходил ярмарочный угар.
По тем же дорогам ползли обратно подводы.
На юг – пустые, на север – нагруженные всяческим товаром.
У хозяев первых были полные кошели денег, у хозяев вторых вместо денег
был товар и приятные воспоминания.
Жизнь в Вологде быстро входила в свою
обычную колею.
И текла тихо и мирно по заведенному временем освященному обычаю.
До следующей январской ярмарки.
Так было давно.
Так жили наши деды.
II
Прошли годы и десятки лет.
Наступил век пара, электричества и
изумительных изобретений.
Железная дорога так сократила расстояния,
что доставляет из Вологды в Петербург и Москву в течение почти
полусуток.
Путешествие
из Вологды в столицы не составляет никакого события в человеческой
жизни и никто не будет долго задумываться над вопросом ехать или нет.
И
если раньше весь город знал, что такой то Иван Иванович, собирается
ехать в Москву на лошадях, то теперь часто и близкие не знают, когда
Иван Иванович уехал и когда приехал.
Теперь самый захолустный торговец
предпочитает ехать за товаром в центральные пункты, покупать из первых
рук и тогда, когда ему удобнее.
Там, в Москве, в Петербурге – всегда ярмарка.
А то и ехать не надо.
Та же железная дорога во всякое время доставит товару сколько нужно,
только стоит написать кому следует.
Появились нового рода «ярмарочные гости»
– бесчисленная армия коммивояжеров.
А ярмарка все же существует.
По-прежнему развлекается народ.
Вертятся карусели, пекутся пышки, кипит сбитень.
Все по старому.
Если вы хотите знать, как жила, чем
развлекалась старая Вологда – идите на ярмарку, к балаганам и каруселям.
Здесь приютился уголок старой ярмарки.
И как раньше идет еще народ сюда, как шел
он назад тому десятки лет.
Ярмарка потеряла теперь свое торговое
значение.
И скоро потеряет второе значение – увеселительное.
Ярмарка вся в прошлом и нет и не может быть у нее будущего.
И из товаров преобладают только те, которые имеют характер лакомства и
соответствуют еще не отжившему значению ярмарки – увеселительному.
Потуги ярмарки идти нога в ногу с веком
не увенчиваются успехом.
Вводятся, правда, новшества.
Появились целые лавки с открытками, с вещами на «выбор в пять копеек».
Шарманки обновили свой репертуар и заиграли пьесы.
Но этим обновление не кончилось.
А остальное – все по-старому.
Да, стареет ярмарка.
И скоро неумолимое время сотрет с лица земли это, каким-то чудом
уцедевшее до сих пор, интересное бытовое явление, отблеск старины
стародавней, нелишенный, если хотите, даже своеобразной красоты и
прелести.
Реформа ярмарки:
Письмо в редакцию //
Вологодский справочный
листок. – 1911. - № 204. - С. 3.
Вологодская
ярмарка располагается у нас следующим образом: часть ярмарочных
торговцев помещается на площади, в выстраиваемых ими балаганах, часть –
в городском ярмарочном доме.
Судьба
этого ярмарочного дома, представляющего из себя громадное здание,
довольно оригинальна. В течение года он стоит пустой, не принося
никакого дохода, а занят только во время ярмарки, продолжающейся всего
две недели в году (с 15 по 31 января).
Старожилы
говорят, что дом этот был выстроен специально для ярмарки во времена
крепостного права для удобства помещиков, которым не хотелось покупать
товары на ярмарке вместе с простонародьем, а в ярмарочный дом простой
народ не пускался. Сообразно с покупателями и торговали в ярмарочном
доме товарами дорогими и «аристократическими»: золотом, серебром,
материями и т. д.
Насколько городу выгодна такая
эксплуатация городского имущества – говорить не приходится.
По нашему мнению, из огромного каменного дома, при другом способе
эксплуатации, можно было бы извлечь гораздо больший доход. Если бы его
сдать даже под кинематограф, то и тогда дадут аренды больше, чем
получается сейчас.
Всю же ярмарку можно поместить на
площадях, без малейшего ущерба для покупателей и продавцов и с большей
выгодой для города.
Перейдем к тому, как и по какой цене
отдаются места для ярмарочных торговцев.
У нас в Вологде существует на места определенная такса по 10 руб. за
квадратную сажень. При отдаче мест предпочтение дается тому торговцу,
который занимал это место в прошлый год. Такой порядок я уже помню 33
года и установлен он на моей памяти. Тогда же установлена и такса.
Иначе обстоит дело с этим вопросом в соседнем с Вологдой городом –
Архангельске.
Там на торгах квадратная сажень на ярмарочной площади под постройку
балаганов идет от 25 до 55 р., причем каждый торговец берет от 4 до 20
квадр. сажень. И вологодские торговцы, выезжающие на архангельскую
ярмарку, платят такую же плату. Так, например, фирма Гусевых, берет
ежегодно 16 кв. сажень с платою 48 руб. за саж. Ярославский торговец
Укропов берет ежегодно 10 кв. саж. По 55 руб. за сажень.
Пора бы нашему городскому управлению
реформировать ярмарочный вопрос для извлечения наибольше выгоды для
города из ярмарки.
При
реформе вполне возможно ожидать, что доход от ярмарки увеличится в три
раза и, кроме того, освободится и будет приносить самостоятельный и
постоянный доход ярмарочный дом.
Нельзя
сомневаться и в том, что повышение цен на места не убавит числа
торговцев, потому что им есть полный расчет приезжать на ярмарку. Так,
например, одних сластей продается на ярмарке более 4000 пудов.
Сарпинщики
и полотнянщики торговать тоже не перестанут, потому что они ведут
главным образом меновую торговлю на плетеные косынки и кружева.
Ярмарочный
торговец.
Ярмарка в Вологде //
Вологодския Губернския
Ведомости. – 1898. - № 6. - С. 5.
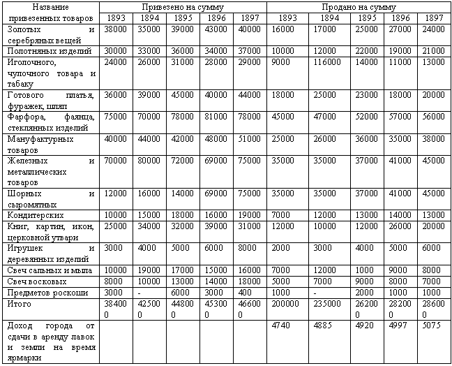
31
января окончилась в г. Вологде ярмарка, начавшаяся 15 того же месяца.
Об оборотах ее за предшествовавшие 5 лет, а равно и о доходах города от
сдачи в аренду лавок и земли на время ярмарки, можно судить по
нижеприводимой таблице:

Коваль.
Ярмарка в городе Вологде
(Историческая справка «В. Г. В.» № 9 – 1839 г.) //
Вологодский листок. – 1912. –
№ 336. – С. 3
Приводим
сведения о товарах, привезенных и проданных на ярмарках в г. Вологде с
6 января по 1 февраля 1839 г. Эти сведения представляются для нас
довольно любопытным материалом того спроса и предложения, какие
существовали сравнительно не в очень давнее время на нашем рынке.
Следует принять во внимание, что в то время вологодская ярмарка
начиналась на девять дней раньше нынешней (15) и что здесь местные
торговцы пополняли свои склады привозными товарами по крайней мере на
полгода, т. е. до нижегородской ярмарки.

Всех товаров было привезено на сумму
864,830 р. и продано на 265,238 р., т. е. Приблизительно свыше 30%.
При сопоставлении количества сбыта товара
с его привозом на первый план выходит мыльный товар, который распродан
без остатка.
Затем
посуда деревянная сошла почти тоже на нет (осталось непроданной на 80
руб.), овощ распродана в количестве 80%, зеркала разошлись в количестве
75%, наименьший спрос имел золотокружевный товар – продана 1/50 часть.
Кондитерский товар и тогда сбывался в количестве почти 50%.
Часть неофициальная
Вологда //
Вологодские
губернские ведомости. - 1855. - № 5.
Нынешняя
зима была до сих пор почти не зима - 61 град С. Ш., под которым мы,
Вологодские жители, привыкли встречать морозы, обращающие ртуть
термометра в твердое тело; но мороза ожидали только ярмарки, чтобы
показать себя во всем блеске. Вот уже несколько дней ртуть упала до -20
град., а сего дня (24 января) хватило кажется за -25 град. Пар или
туман, состоящий из морозных игл, лежит в воздухе, светлый круг около
луны на совершенно безоблачном небе – словом все атрибуты хорошего
мороза. Есть что-то близкое русскому человеку в зимней картине, и мне
невольно вспадают на мысль истинно-русские строфы Фета:
Тихая картина,
Как ты мне родна
Снежная равнина
Бледная луна…
Свет небес высоких
И блестящий снег
И саней далеких
Одинокий бег.
Близка
зима сердцу русского человека, что прямо и поразительно верно указывает
на его здоровую, деятельную, живую натуру, не терпящую бездействия и
лени, кроме исключений, которые есть везде. Ни один из русских поэтов
не оставил зимы нашей без привета или воспоминаний; у Пушкина найдется
много зимних картин, превосходных по верности описания и мастерских по
изложению.
От
зимы перейдем к нашей ярмарке… она еще не кончилась, стало быть нельзя
представить цифры торговой деятельности; но все же мы поговорим о
ярмарке вообще. Вологодская ярмарка имеет особенность, которую не часто
можно встретить – это теплое помещение. Удобство теплого помещения –
есть огромное удобство; в этом вы можете удостовериться, отправившись
прогуляться по ярмарке от 11 часов утра и вплоть до позднего вечера (до
темноты); огромная толпа разного качества людей, всех полов и
возрастов, шумит по залам, как гулливое море, заливами вливается во все
закоулки индустрии и водопадом сбегает со всех возможных лестниц. И
поверьте мне, что толпу привлекают не тульские пряники (на которых
заметить между прочим, вместо миндалю посажена фасоль – испытал горьким
опытом), не магазин Ожаровского, с галантерейным товаром, несомненно –
заграничного происхождения, не книжные лавки, в которых очень много
картин, и не картинные выставки, в которых имеются книги, нет! Большая
часть этой массы не только ровно ничего не купит, но даже не приценится
к пряникам с фасолью, не попробует на взводах ружья, не спросит у
книгопродавца какой-нибудь сверхъестественной книги, которой еще никто
не сочинял, не потребует с известным изображением тени Наполеона (не
нынешнего Наполеона, у этого тени нет) между деревьями… ничего этого
девять десятых посетителей не сделают, а между тем толпа прибывает
безпрестанно, не нарушая, к совершенному отчаянию продающих, пропорцию
между покупающими и гуляющими для собственного удовольствия. А причина
всему этому – теплое помещение.
В
нижнем ярусе – и на дворе ярмарочного здания, товары очень
привлекательные, ценность процентов на пятнадцать ниже, а покупателей
мало; от чего это? Да от того, что в нижнем ярусе и на дворе за 20
град. Холода, так там прогуливаться для собственного удовольствия не
очень занимательно. А наверху, где температура хотя не с большим, но
все-таки с плюсом, ходится как-то охотно… Ну смотришь, смотришь, – ан и
не выдержал, что-нибудь и купил; и купцу польза и себе удовольствие. Не
будь этого, никогда бы я не узнал, что в тульские пряники кладут фасоль
вместо миндаля.
Оборот
нашей ярмарки не очень значителен, но сама ярмарка представляет большую
важность для жителей собственно Вологды. Это время хлопотливое для
аккуратных хозяев и хозяек, время закупки годовых запасов, которые
теперь можно приобрести несколькими, положим копейками, дешевле
обыкновенного; но копейки эти в массе общей сложности, составляют
довольно значительный процент годового бюджета… В одном из следующих
номеров мы представим нашим читателям цифры ярмарочного оборота и
таблицу стоимости некоторых предметов почти первой потребности (сахару,
чаю, свеч, не дорогих материй, посуды и др.) вне ярмарочного времени.
Тогда, из сравнения, помянутый процент сбережения определится сам собою.
Екатерининская ярмарка в Грязовце //
Вологодския Губернския
Ведомости. – 1862. - № 2 (13 января).
Часть неофициальная).
Сохранена орфография
оригинала
На
Грязовецкой ярмарке, переименованной ныне из Введеньевской в
Екатерининскую, установляются цены для югозапада Вологодской Губернии,
на коровье масло, холст и лошадей. Перваго в привозе ныне было
довольно, и держалось оно, в начале ярмарки, в хорошей цене 7 р. 35 к.
пуд, а в долг до 1-го Января и 7 с полтиной, но потом цены стали быстро
упадать и спустились до 6 р. 50 к., что дало повод некоторым хозяевам
остановиться продажей в ожидании высших цен, и некоторые из них увезли
обратно значительныя партии, иные выше ста пудов.
Лошадей
хороших было мало; одна пара на 1,500 рублей угнана обратно; затем,
лучшая лошадь продана за 200 рублей; за то, на рабочих крестьянских
лошадей был огромный запрос и цены на них поднялись ужасно; так что те,
например, которыя ходили прежде рублей за 10, за 15, ныне продавались и
по 30 р. В числе покупателей было много помещиков. Непонятно только,
почему явилось такое требование, так как обыкновенно, в нашем краю,
более запроса на животных этого сорта имеет место к весне, в Марте,
когда приближаются полевыя работы.
В городской доход с устроенных помещений
и открытых мест поступило 963 р. 65 к., более прошлогодняго на 59 руб.
Петровская ярмарка в Грязовце //
Вологодския Губернския
Ведомости. – 1870. - № 29. - С. 296.
Сохранена орфография
оригинала
О Петровской ярмарке, бывшей с 27 по 30
июня, из Грязовца сообщают следующее:
В нынешнем году ярмарка Петровская была не так успешна, как в
предыдущие годы; закупки товара партиями не было, холста не привозили,
и вообще товара привезено было менее чем в прошедшем году. Причина
последняго была та, что крестьяне, приступив к сенокосу, не привезли
своих изделий, сбываемых ими ранее на торжках в уезде. Большую часть
привезенного в Грязовец товара составляли бумажныя и шерстяныя изделия,
на которые цены стояли обыкновенныя.
Сбор в городской доход за лавки и устроенное ярмарочное помещение 146
р. 50 к.
И с открытых мест на городской площади 51 р.
А всего 197 р. 50 к.
Доход был менее прошлогодняго на 10 р. 50 к.
О грязовецкой Введеньевской
ярмарке //
Вологодския Губернския
Ведомости. – 1871. - № 4. - С. 12.
Сохранена орфография
оригинала
В
г. Грязовце учреждена Введеньевская (Екатерининская) ярмарка,
открывающаяся 23 и кончающаяся 28 ноября. Ярмарка эта имеет важное
значение не для одного г. Грязовца, но для всего югозападного края
нашей губернии. На этой ярмарке устанавливаются годовые цены на лен и
масло, принадлежащие к числу важнейших предметов сбыта здешней
губернии. Кроме того на этой ярмарке идет очень значительная торговля
лошадьми, которыя приводятся как из югозападной части здешней, так и
соседних уездов других губерний, и закупаются нуждающимися в этих
животных жителями всего этого округа. Последняя ярмарка (т. е.
происходившая в 1870 году) была очень значительна. Количество
привезенных в этот раз товаров вдвое превышало привоз 1869 года и
простиралось слишком на 130.000 р. Лошадей приведено было также очень
много. Торг шел успешно, так как крестьянское население, обеспеченное
хорошим урожаем хлебов в 1870 году, имело возможность приобретать для
себя не только необходимые предметы, но даже и такие, которые
составляют роскошь в крестьянском быту. Цены на лен и масло были
удовлетворительны, а именно на первый от 8 р. до 8 р. 50 к. за пуд, а
на второе от 4 р. до 5 р. 50 к. пуд. Ярмарка эта принесла городу дохода
от отдачи торговцам в наем ярмарочных помещений и открытых мест 979 р.
75 к. – более против ярмарки 1869 года на 377 р. 25 к. Такая сумма
ярмарочного сбора равняется пятой части всех городских доходов г.
Грязовца.
О ярмарках в России
//
Академические известия. - Ч. 7-8. - СПб.,
1781. - С.
















